Beranda
/ Hasil Dari 23 Kubik + Â 576 * Â 49 + 11 Kuadrat Adalah - Jika X 85 25 1 25 17 20 Dan Y Akar Dari 16 8 X 5 5 Pangkat 2 Maka Brainly Co Id - Bentuk umum dari persamaan kuadrat atau pk adalah sebagai berikut:
Hasil Dari 23 Kubik + Â 576 * Â 49 + 11 Kuadrat Adalah - Jika X 85 25 1 25 17 20 Dan Y Akar Dari 16 8 X 5 5 Pangkat 2 Maka Brainly Co Id - Bentuk umum dari persamaan kuadrat atau pk adalah sebagai berikut:
Hasil Dari 23 Kubik + Â 576 * Â 49 + 11 Kuadrat Adalah - Jika X 85 25 1 25 17 20 Dan Y Akar Dari 16 8 X 5 5 Pangkat 2 Maka Brainly Co Id - Bentuk umum dari persamaan kuadrat atau pk adalah sebagai berikut:. Persamaan kuadrat adalah salah satu persamaan matematika dari variabel yang mempunyai pangkat tertinggi dua. Bilangan pangkat tiga bilangan pangkat tiga atau sering disebut bilangan kubik merupakan bilangan hasil pemangkatan tiga suatu bilangan. Hasil dari 8 2 + 16 2 + 23 2 =. Dari contoh bilangan kuadrat diatas terdapat bilangan kuadrat yang unik diantaranya adalah nilai angka 64, 729, dan 4.096 kenapa disebut angka bilangan kuadrat yang unik karena bilangan tersebut merupakan hasil pangkat 3, berikut ini detailnya : Bagaimana untuk menentukan bilangan kuadrat 12?
8 2 = 64 16 2 = 256 23 2 = 529 8 2 + 16 2 +23 2 = 64 + 256 + 529 = 849 2. Persamaan kuadrat adalah salah satu persamaan matematika dari variabel yang mempunyai pangkat tertinggi dua. A 3 = a x a x a. Jadi, kemungkinan akar kuadrat dari 2209 adalah kalau bukan 43 pasti 47. Siapa bilangan kuadrat yang dihasilkan dari perhitungan 100?
1 Kerjakan Operasi Campuran Bilangan Bulat Berikut Dengan Teliti A 6 423 207 5 070 78 B Brainly Co Id from id-static.z-dn.net Tentukan bilangan kubik yang nilainya lebih dari 15.000 dan kurang dari 17.576. Maka angka puluhan hasil pencarian akar kuadrat dari 2209 adalah 4. Apr 17, 2011 · dalam bab ini kamu akan mempelajari: 8 2 = 64 16 2 = 256 23 2 = 529 8 2 + 16 2 +23 2 = 64 + 256 + 529 = 849 2. Ax2 +bx + c = 0. $$\sqrtn{x}$$ masukkan pangkat (n) dan angka (x). Persamaan kuadrat adalah salah satu persamaan matematika dari variabel yang mempunyai pangkat tertinggi dua. Hasil dari 8 2 + 16 2 + 23 2 =.
Apr 17, 2011 · dalam bab ini kamu akan mempelajari:
Maka angka puluhan hasil pencarian akar kuadrat dari 2209 adalah 4. Apr 17, 2011 · dalam bab ini kamu akan mempelajari: Ax2 +bx + c = 0. 8 2 = 64 16 2 = 256 23 2 = 529 8 2 + 16 2 +23 2 = 64 + 256 + 529 = 849 2. Persamaan kuadrat adalah salah satu persamaan matematika dari variabel yang mempunyai pangkat tertinggi dua. A 3 = a x a x a. Akar pangkat n dari x adalah: Bentuk umum dari persamaan kuadrat atau pk adalah sebagai berikut: Bagaimana untuk menentukan bilangan kuadrat 12? Apakah akar kuadrat berada di antara 5 dan 6? Apr 16, 2021 · dan pertanyaan lainnya yang kurang dari 300 maka kalian dapat melihat dari tabel diatas. Dari contoh bilangan kuadrat diatas terdapat bilangan kuadrat yang unik diantaranya adalah nilai angka 64, 729, dan 4.096 kenapa disebut angka bilangan kuadrat yang unik karena bilangan tersebut merupakan hasil pangkat 3, berikut ini detailnya : Menentukan akar pangkat tiga dari bilangan kubik;
Berikut ini daftar hasil pemangkatan tiga. Ax2 +bx + c = 0. Apakah akar kuadrat berada di antara 5 dan 6? Akar pangkat n dari x adalah: Bilangan pangkat tiga bilangan pangkat tiga atau sering disebut bilangan kubik merupakan bilangan hasil pemangkatan tiga suatu bilangan.
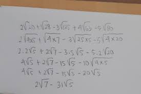
Akar 500 Dikurangi 1 Per 4 Akar 20 3 Akar 45 Brainly Co Id from id-static.z-dn.net Maka angka puluhan hasil pencarian akar kuadrat dari 2209 adalah 4. Berikut ini daftar hasil pemangkatan tiga. Bentuk umum dari persamaan kuadrat atau pk adalah sebagai berikut: 8 2 = 64 16 2 = 256 23 2 = 529 8 2 + 16 2 +23 2 = 64 + 256 + 529 = 849 2. Bagaimana cara menentukan akar kuadrat dan kubik? Siapa bilangan kuadrat yang dihasilkan dari perhitungan 100? Menentukan akar pangkat tiga dari bilangan kubik; Bagaimana untuk menentukan bilangan kuadrat 12?
Dengan x merupakan variabel, a, b merupakan koefisien, dan c merupakan konstanta.
Jadi, kemungkinan akar kuadrat dari 2209 adalah kalau bukan 43 pasti 47. 8 2 = 64 16 2 = 256 23 2 = 529 8 2 + 16 2 +23 2 = 64 + 256 + 529 = 849 2. Ax2 +bx + c = 0. $$\sqrtn{x}$$ masukkan pangkat (n) dan angka (x). Dengan x merupakan variabel, a, b merupakan koefisien, dan c merupakan konstanta. Akar pangkat n dari x adalah: Tinggal kita coba dengan perkalian 43 x 43 ternyata hasilnya 1849. Hitung akar pangkat n dari x. Bagaimana untuk menentukan bilangan kuadrat 12? Hasil dari 8 2 + 16 2 + 23 2 =. Tekan tombol hitung dan hasil kalkulasi akan ditampilkan secara otomatis. Berikut ini daftar hasil pemangkatan tiga. A 3 = a x a x a.
Persamaan kuadrat adalah salah satu persamaan matematika dari variabel yang mempunyai pangkat tertinggi dua. Apr 16, 2021 · dan pertanyaan lainnya yang kurang dari 300 maka kalian dapat melihat dari tabel diatas. Jadi, kemungkinan akar kuadrat dari 2209 adalah kalau bukan 43 pasti 47. Bagaimana cara menentukan akar kuadrat dan kubik? Apr 17, 2011 · dalam bab ini kamu akan mempelajari:
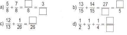
Perhatikan Operasi Hitung Danhasilnya Berikut I 2 7 5 400 Ii 75 25 4 1 728 Iii 80 Brainly Co Id from id-static.z-dn.net Persamaan kuadrat adalah salah satu persamaan matematika dari variabel yang mempunyai pangkat tertinggi dua. Akar pangkat n dari x adalah: Berikut ini daftar hasil pemangkatan tiga. Dengan x merupakan variabel, a, b merupakan koefisien, dan c merupakan konstanta. Tekan tombol hitung dan hasil kalkulasi akan ditampilkan secara otomatis. Tentukan bilangan kubik yang nilainya lebih dari 15.000 dan kurang dari 17.576. Dari contoh bilangan kuadrat diatas terdapat bilangan kuadrat yang unik diantaranya adalah nilai angka 64, 729, dan 4.096 kenapa disebut angka bilangan kuadrat yang unik karena bilangan tersebut merupakan hasil pangkat 3, berikut ini detailnya : $$\sqrtn{x}$$ masukkan pangkat (n) dan angka (x).
Apr 17, 2011 · dalam bab ini kamu akan mempelajari:
Apakah akar kuadrat berada di antara 5 dan 6? Bagaimana cara menentukan akar kuadrat dan kubik? Hasil dari 8 2 + 16 2 + 23 2 =. $$\sqrtn{x}$$ masukkan pangkat (n) dan angka (x). Siapa bilangan kuadrat yang dihasilkan dari perhitungan 100? Tentukan bilangan kubik yang nilainya lebih dari 15.000 dan kurang dari 17.576. Tekan tombol hitung dan hasil kalkulasi akan ditampilkan secara otomatis. Hitung akar pangkat n dari x. Bentuk umum dari persamaan kuadrat atau pk adalah sebagai berikut: Persamaan kuadrat adalah salah satu persamaan matematika dari variabel yang mempunyai pangkat tertinggi dua. 8 2 = 64 16 2 = 256 23 2 = 529 8 2 + 16 2 +23 2 = 64 + 256 + 529 = 849 2. Dari contoh bilangan kuadrat diatas terdapat bilangan kuadrat yang unik diantaranya adalah nilai angka 64, 729, dan 4.096 kenapa disebut angka bilangan kuadrat yang unik karena bilangan tersebut merupakan hasil pangkat 3, berikut ini detailnya : Berikut ini daftar hasil pemangkatan tiga.
Berbagi
Posting Komentar
untuk "Hasil Dari 23 Kubik + Â 576 * Â 49 + 11 Kuadrat Adalah - Jika X 85 25 1 25 17 20 Dan Y Akar Dari 16 8 X 5 5 Pangkat 2 Maka Brainly Co Id - Bentuk umum dari persamaan kuadrat atau pk adalah sebagai berikut:"
Posting Komentar untuk "Hasil Dari 23 Kubik + Â 576 * Â 49 + 11 Kuadrat Adalah - Jika X 85 25 1 25 17 20 Dan Y Akar Dari 16 8 X 5 5 Pangkat 2 Maka Brainly Co Id - Bentuk umum dari persamaan kuadrat atau pk adalah sebagai berikut:"